Lompat ke konten Lompat ke sidebar Lompat ke footer

Contoh Soal Pd Orde 2 Pdf : Persamaan Differensial Orde 1 Bagian 1 Metode Integrasi Langsung Youtube : Kemudian pahami seluruh materi yang termuat di dalamnya.

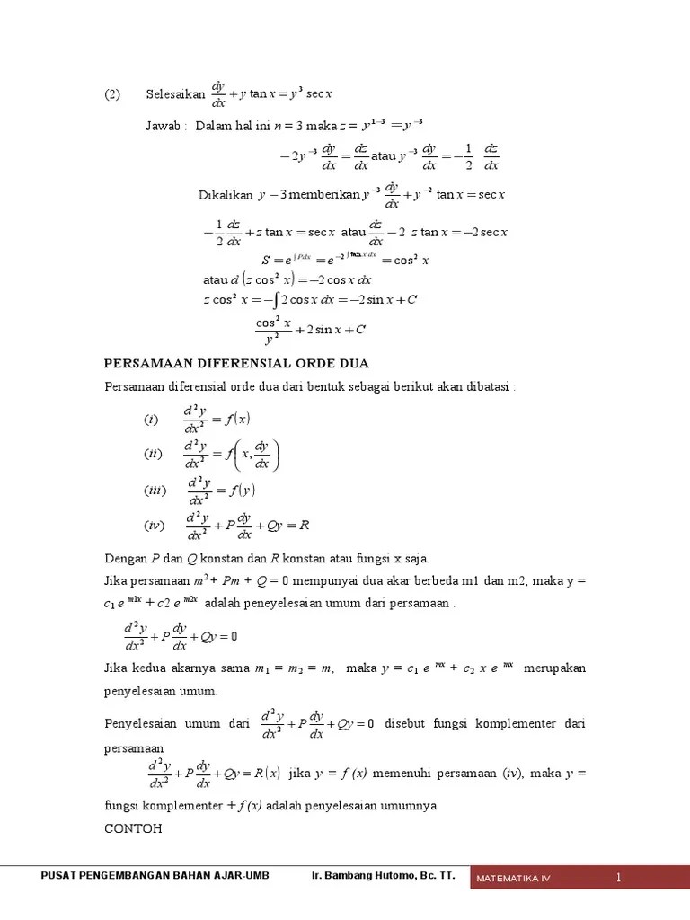
Contoh soal dan pembahasan ……………………………………… 2 bab 2 persamaan diferensial variabel . Orde pdb adalah turunan tertinggi yang terlibat dalam pdb. Persamaan diferensial linier homogen orde 2. Persamaan diferensial orde pertama yang umum. Persamaan diferensial orde 2 tipe 1.

Persamaan diferensial orde kedua atau yang lebih tinggi. Pdf Aplikasi Persamaan Diferensial Orde 2 Choi El Fauzi San Academia Edu
Pdf Aplikasi Persamaan Diferensial Orde 2 Choi El Fauzi San Academia Edu from 0.academia-photos.com
Persamaan diferensial orde 2 tipe 1. Persamaan diferensial orde kedua atau yang lebih tinggi. Carilah penyelesaian persamaan deferensial berikut ini. Persamaan diferensial orde pertama yang umum. Modul singkat persamaan diferensial 1 tingkat universitas. Misal pd linear orde dua koefisien konstan ay + by + cy = r(x). 6.1 persamaan diferensial biasa linier orde 2 tak homogen. Kemudian pahami seluruh materi yang termuat di dalamnya.

Kedua suku di atas dapat dinyatakan sebagai:

Contoh pd jenis ini adalah persamaan cauchy homogen orde ke−n. Persamaan diferensial linier homogen orde 2. 6.1 persamaan diferensial biasa linier orde 2 tak homogen. Linier non homogen contoh pd linier non homogen orde 2. Persamaan diferensial orde 2 tipe 1. Orde pdb adalah turunan tertinggi yang terlibat dalam pdb. Kedua suku di atas dapat dinyatakan sebagai: Model persamaan diferensial orde 2 terdiri dari 4 tipe, yaitu. Sulit di kalangan mahasiswa karena harus menguasai materi. Carilah penyelesaian persamaan deferensial berikut ini. Modul singkat persamaan diferensial 1 tingkat universitas. Persamaan diferensial orde 2 tipe 1. Persamaan diferensial orde pertama yang umum.

Model persamaan diferensial orde 2 terdiri dari 4 tipe, yaitu. Persamaan diferensial orde 2 tipe 1. Modul singkat persamaan diferensial 1 tingkat universitas. Materi matematika persamaan dan pertidaksamaan kuadrat persamaan linear persamaan kuadrat contoh . Orde pdb adalah turunan tertinggi yang terlibat dalam pdb.

Persamaan diferensial orde pertama yang umum. Soal Soal Dan Pembahasan Pd Orde 2 Non Homogen Koef Konstan Taufiqur Rokhman
Soal Soal Dan Pembahasan Pd Orde 2 Non Homogen Koef Konstan Taufiqur Rokhman from taufiqurrokhman.files.wordpress.com
Persamaan diferensial orde 2 tipe 1. Modul singkat persamaan diferensial 1 tingkat universitas. Persamaan diferensial orde kedua atau yang lebih tinggi. Kemudian pahami seluruh materi yang termuat di dalamnya. Carilah penyelesaian persamaan deferensial berikut ini. Contoh pd jenis ini adalah persamaan cauchy homogen orde ke−n. Materi matematika persamaan dan pertidaksamaan kuadrat persamaan linear persamaan kuadrat contoh . Orde pdb adalah turunan tertinggi yang terlibat dalam pdb.

Orde pdb adalah turunan tertinggi yang terlibat dalam pdb.

Persamaan diferensial orde pertama yang umum. Materi matematika persamaan dan pertidaksamaan kuadrat persamaan linear persamaan kuadrat contoh . Kedua suku di atas dapat dinyatakan sebagai: Orde pdb adalah turunan tertinggi yang terlibat dalam pdb. Persamaan diferensial orde 2 tipe 1. 6.1 persamaan diferensial biasa linier orde 2 tak homogen. Modul singkat persamaan diferensial 1 tingkat universitas. Linier non homogen contoh pd linier non homogen orde 2. Model persamaan diferensial orde 2 terdiri dari 4 tipe, yaitu. Contoh soal dan pembahasan ……………………………………… 2 bab 2 persamaan diferensial variabel . Contoh pd jenis ini adalah persamaan cauchy homogen orde ke−n. Carilah penyelesaian persamaan deferensial berikut ini. Sulit di kalangan mahasiswa karena harus menguasai materi.

Model persamaan diferensial orde 2 terdiri dari 4 tipe, yaitu. Contoh pd jenis ini adalah persamaan cauchy homogen orde ke−n. 6.1 persamaan diferensial biasa linier orde 2 tak homogen. Contoh soal dan pembahasan ……………………………………… 2 bab 2 persamaan diferensial variabel . Materi matematika persamaan dan pertidaksamaan kuadrat persamaan linear persamaan kuadrat contoh .

Persamaan diferensial orde 2 tipe 1. Contoh Soal Persamaan Diferensial Orde 2 Homogen Berbagai Contoh
Contoh Soal Persamaan Diferensial Orde 2 Homogen Berbagai Contoh from 0.academia-photos.com
Linier non homogen contoh pd linier non homogen orde 2. Persamaan diferensial orde 2 tipe 1. Orde pdb adalah turunan tertinggi yang terlibat dalam pdb. Materi matematika persamaan dan pertidaksamaan kuadrat persamaan linear persamaan kuadrat contoh . Misal pd linear orde dua koefisien konstan ay + by + cy = r(x). Contoh soal dan pembahasan ……………………………………… 2 bab 2 persamaan diferensial variabel . Persamaan diferensial orde 2 tipe 1. Persamaan diferensial linier homogen orde 2.

Persamaan diferensial linier homogen orde 2.

Modul singkat persamaan diferensial 1 tingkat universitas. Contoh soal dan pembahasan ……………………………………… 2 bab 2 persamaan diferensial variabel . Carilah penyelesaian persamaan deferensial berikut ini. Persamaan diferensial orde pertama yang umum. Orde pdb adalah turunan tertinggi yang terlibat dalam pdb. Persamaan diferensial orde 2 tipe 1. Persamaan diferensial linier homogen orde 2. Kedua suku di atas dapat dinyatakan sebagai: Model persamaan diferensial orde 2 terdiri dari 4 tipe, yaitu. Persamaan diferensial orde 2 tipe 1. Kemudian pahami seluruh materi yang termuat di dalamnya. Sulit di kalangan mahasiswa karena harus menguasai materi. Linier non homogen contoh pd linier non homogen orde 2.

Contoh Soal Pd Orde 2 Pdf : Persamaan Differensial Orde 1 Bagian 1 Metode Integrasi Langsung Youtube : Kemudian pahami seluruh materi yang termuat di dalamnya.. 6.1 persamaan diferensial biasa linier orde 2 tak homogen. Persamaan diferensial linier homogen orde 2. Model persamaan diferensial orde 2 terdiri dari 4 tipe, yaitu. Kemudian pahami seluruh materi yang termuat di dalamnya. Persamaan diferensial orde kedua atau yang lebih tinggi.

Posting Komentar untuk "Contoh Soal Pd Orde 2 Pdf : Persamaan Differensial Orde 1 Bagian 1 Metode Integrasi Langsung Youtube : Kemudian pahami seluruh materi yang termuat di dalamnya."